人口知能はいかにして強くなるのか?
対戦型AIで学ぶ基本のしくみ
小野田 博一
講談社ブルーバックス
2017年
p24
Alphagoは自ら学習し、強くなったという表現
これは「解析プログラムで解析し、その結果、評価関数等の各係数の値をより正確なものに変更した」ぐらいの意味であることがわかるはず
p29
ミッキー(Donald Michie)
三目並べ
マッチ箱製ゲーム思考機械Menase
対戦型AIで学ぶ基本のしくみ
小野田 博一
講談社ブルーバックス
2017年
本書により、やっと対戦型AIの原理が理解できた。ありがとうございます😊と著者に言いたい。
今日でも、汎用AIなど、概念上のものにすぎない、即ち空想の産物に過ぎないとされているが、対戦型AIは、本書のよればほとんど人手は必要ない。これに対して、対話型AIは、恐らくは、大量の人手が必要であろう。検索型AIはグーグルが開発中であるが、自分が良く知っている内容を敢えてAIに聞くと、完全な誤答又は不正確な内容を返答する場合がまだあまりにも多すぎる。しかし、検索型AIは、数値を忘れた場合には便利である。誰かが、高機能の言語分析型AIを作れば、AIは、我々は語りえぬものを語ってはならない と返事するのであろうか?
今日でも、汎用AIなど、概念上のものにすぎない、即ち空想の産物に過ぎないとされているが、対戦型AIは、本書のよればほとんど人手は必要ない。これに対して、対話型AIは、恐らくは、大量の人手が必要であろう。検索型AIはグーグルが開発中であるが、自分が良く知っている内容を敢えてAIに聞くと、完全な誤答又は不正確な内容を返答する場合がまだあまりにも多すぎる。しかし、検索型AIは、数値を忘れた場合には便利である。誰かが、高機能の言語分析型AIを作れば、AIは、我々は語りえぬものを語ってはならない と返事するのであろうか?
p24
Alphagoは自ら学習し、強くなったという表現
これは「解析プログラムで解析し、その結果、評価関数等の各係数の値をより正確なものに変更した」ぐらいの意味であることがわかるはず
p29
ミッキー(Donald Michie)
三目並べ
マッチ箱製ゲーム思考機械Menase
304【個のマッチ箱】
ミッキー(Donald Michie)という人口知能研究者が、1961年に考案した思考実験の記述内容を要約すると、下記のとおり。著者は次の点は書いてはいない。
*3目並べは、最後のヒトマスを除いて、512の局面しかないが、全部なら1012
*機械は何も考えているわけではない。即ち、単なる確率である。
*この思考実験機械の勝率は30.04%のはずである。
【三目並べの304の局面を示す図を用意する。機械が先手で、その304の局面からスタート。
マッチ箱の中に色々な色のビーズが入っており、機械の打つ手は、取り出したビーズの色で決まる。
言い換えれば、機械は何も考えているわけではない。即ち、単なる確率である。
機械が勝った場合には、機械の一手毎に、1個のビーズを褒美として与える。つまり、3個の褒美のビーズを加算する。引き分けの場合には、1個のビーズの褒美。負けた場合には、褒美ではなく、逆にビーズが1個とりあげられる。】
この機械は、【何も思考している訳ではないのに】ゲームの経験を積めば積むほど、勝つ道を選ぶようになり、負ける道を避けるようになる。
自明ですね。そうです、この機械は学ぶのです。
p31
回帰分析と判別分析
p40
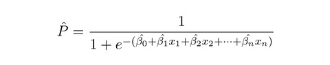
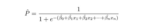
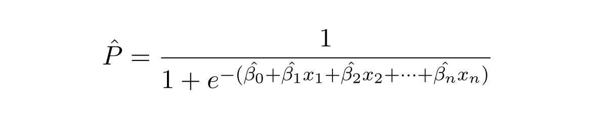
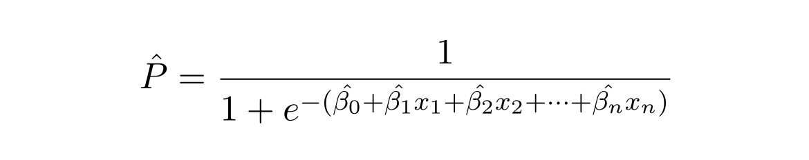
このページにロジスティック曲線の解説があるものの、一般的な内容と異なるため、日本語ウキペディア等から別途メモする
*主に集団の個体数増加を記述する場合のロジスティック曲線。Nは人口、Kは人口の最大値、rは増加率

*上の解としての個体数増加の式。実験してもピタリと当てはまる。Lはその環境下での最大個体数

*一般的なロジスティック曲線。個体数は100を上限とする

*上の式で、L=1と置けば、即ち、確率になるようにすればよい

*シグモイド関数とも呼ばれるロジスティック関数のL=1とした場合のグラフ

上の式でa1~anは、通常は偏回帰係数と呼ばれる。x1~xnは、多重回帰分析の各変数。
著者は、e の累乗部分をu と表示する形式の式を記載
p42
以下のデータを得たとします
表2-3
X1 X2 勝率
1.0 0.5 40%
0.5 0.9 50%
2.0 1.0 70%
X1は駒の配置の利の得点
X2は駒の可動性の得点
さてX1=0.2、X2=1.9の場合、勝率は何%と予測できるでしょう
【P43で解き方が書かれているが R を使えばすぐ出るので省略】
p44
u=-1.657+0.459X1+1.586X2
という回帰式が得られました。
これに、X1=0.2、X2=1.9を代入して
答えは81.0%です
p44
深層学習という用語の印象から
人間のように学習する
【囲碁専用の】Alphagoの深層学習は、回帰分析を行っているだけです。
判別分析
ある人の年齢、身長、体重、体脂肪率などなどの、測定値が色々あれば、その人のが男か女かの予想がつく。
Discriminant analysis 機械学習の用語では、suoervised classification
p132
サミュエルの方法
サミュエルのプログラムの評価関数は、30ほどの変数を使った線形形式です。つまり、

この式の e の累乗部分のβ=0からβ=30まである。評価関数とは、多重回帰分析の説明変数(ただし、お互いに完全に影響しあわないことが大前提)と全く同じであろう。
ミッキー(Donald Michie)という人口知能研究者が、1961年に考案した思考実験の記述内容を要約すると、下記のとおり。著者は次の点は書いてはいない。
*3目並べは、最後のヒトマスを除いて、512の局面しかないが、全部なら1012
*機械は何も考えているわけではない。即ち、単なる確率である。
*この思考実験機械の勝率は30.04%のはずである。
【三目並べの304の局面を示す図を用意する。機械が先手で、その304の局面からスタート。
マッチ箱の中に色々な色のビーズが入っており、機械の打つ手は、取り出したビーズの色で決まる。
言い換えれば、機械は何も考えているわけではない。即ち、単なる確率である。
機械が勝った場合には、機械の一手毎に、1個のビーズを褒美として与える。つまり、3個の褒美のビーズを加算する。引き分けの場合には、1個のビーズの褒美。負けた場合には、褒美ではなく、逆にビーズが1個とりあげられる。】
この機械は、【何も思考している訳ではないのに】ゲームの経験を積めば積むほど、勝つ道を選ぶようになり、負ける道を避けるようになる。
自明ですね。そうです、この機械は学ぶのです。
p31
回帰分析と判別分析
p40
このページにロジスティック曲線の解説があるものの、一般的な内容と異なるため、日本語ウキペディア等から別途メモする
*主に集団の個体数増加を記述する場合のロジスティック曲線。Nは人口、Kは人口の最大値、rは増加率

*上の解としての個体数増加の式。実験してもピタリと当てはまる。Lはその環境下での最大個体数

*一般的なロジスティック曲線。個体数は100を上限とする

*上の式で、L=1と置けば、即ち、確率になるようにすればよい

*シグモイド関数とも呼ばれるロジスティック関数のL=1とした場合のグラフ

上の式でa1~anは、通常は偏回帰係数と呼ばれる。x1~xnは、多重回帰分析の各変数。
著者は、e の累乗部分をu と表示する形式の式を記載
p42
以下のデータを得たとします
表2-3
X1 X2 勝率
1.0 0.5 40%
0.5 0.9 50%
2.0 1.0 70%
X1は駒の配置の利の得点
X2は駒の可動性の得点
さてX1=0.2、X2=1.9の場合、勝率は何%と予測できるでしょう
【P43で解き方が書かれているが R を使えばすぐ出るので省略】
p44
u=-1.657+0.459X1+1.586X2
という回帰式が得られました。
これに、X1=0.2、X2=1.9を代入して
答えは81.0%です
p44
深層学習という用語の印象から
人間のように学習する
【囲碁専用の】Alphagoの深層学習は、回帰分析を行っているだけです。
判別分析
ある人の年齢、身長、体重、体脂肪率などなどの、測定値が色々あれば、その人のが男か女かの予想がつく。
Discriminant analysis 機械学習の用語では、suoervised classification
p132
サミュエルの方法
サミュエルのプログラムの評価関数は、30ほどの変数を使った線形形式です。つまり、

この式の e の累乗部分のβ=0からβ=30まである。評価関数とは、多重回帰分析の説明変数(ただし、お互いに完全に影響しあわないことが大前提)と全く同じであろう。
コメント