シン・中国人激変する社会と悩める若者たち斎藤 淳子ちくま新書2023年 社会人類学の著作ではないものの、非常に優れた著作であり、中国在住歴が長いからこそ書けた内容である。本書で初めて気付かされたのは、中国社会の変化スピードの極度の早さである。反面、中国史マニア ...
もっと読む
2025年08月
重要 世界一シンプルな進化論講義
世界一シンプルな進化論講義 更科 功 講談社ブルーバックス 2025年 古生物学を専門とする方によるタイトル通りの分かりやすい解説書である。唯一の欠点はアメリカでは進化論を否定する者の比率が異様なまでに多いという点に一切触れられていない点である。p23 「種の ...
もっと読む
⭕️ 機密指定解除 歴史を変えた極秘文書
機密指定解除 歴史を変えた極秘文書トーマス・B・アレン佐藤正和 訳日経ナショナルジオグラフィック社2008年 ナショナルジオグラフィック記事投稿している作家の著作で、多分、アメリカの雑誌に定期掲載されていたものを一つにまとめたものであろう。画像などは、多分、全て ...
もっと読む
重要 中国女性の20世紀
中国女性の20世紀近現代家父長制研究白水 紀子2001年明石書店本書によれば、日本の江戸時代と中国の清朝時代とでは結婚制度も妾も全く異なる①中国の清朝時代には、嫁は貰うものではなく、完全に「媳とは買うもの」であった。極論すれば、儒教影響下の中国では女性は基本的 ...
もっと読む
【データ】在日韓国・朝鮮人問題の基礎知識
Q&A 在日韓国・朝鮮人問題の基礎知識仲尾 宏明石書店1997年朝鮮通信使の著作がメイン業績で私も読んで記憶のある仲尾 宏という朝鮮人が、明確な総連支持者であることを初めて知った。また、立原正秋という北原白秋のパロディのような小説家が朝鮮人であることも初めて知った ...
もっと読む
❌ 新日本の進路 石原莞爾將軍の遺書
新日本の進路石原莞爾將軍の遺書石原莞爾青空文庫石原莞爾は、昭和24年8月15日に死去している。日付は偶然であるものの、?と感じる。この遺書は全く無意味である。統制主義という用語だけではなく、内容も空理空論であり、第二次大戦中の昭和15年の最終戦争論が軍人著作とし ...
もっと読む
❌ 中国の歴史を知るための60章
中国の歴史を知るための60章杉山文彦・並木頼壽 編 明石書店2011年朝鮮史に関して嘘・捏造と朝鮮史の美化に関するまさしく頭がおかしいレベルの駄本を多数出版している明石書店発刊である、ただし、韓国内で使用されている国定の歴史教科書は意味があった。その韓国の教科 ...
もっと読む
⭕️ フランスにおける脱宗教性の歴史
フランスにおける脱宗教性の歴史ジャン・ボベロ 三浦信隆・伊達聖伸 訳 【文庫 クセジュ】白水社2009年今日のフランスでは、カソリックの影響力は非常に弱く日本の仏教とあまり変わらない状況だそうである。「キリスト教」知の教科書 竹下 節子P7その後、フランスに住む ...
もっと読む
⭕️ アジアの独裁と建国の父
アジアの独裁と建国の父根本 敬粕谷 祐子彩流社2024年p64金日成は1945年10月14日に平壌で開催された集会で登壇している。12月金日成は早くも組織トップである責任書記に就任している。p65金日成はソ連派の協力を得て責任書記に就任して以降、その過程にソ連軍政がいかに関与 ...
もっと読む
⭕️ 私の日本語修行
私の日本語修行ドナルド・キーン河路 由佳メモするべき点は殆どないが、これほど気持ち良く読める著作は初めてである。河路 由佳氏による前文をはじめ、一切の誇張や嘘が全くないことが、手に取るようにわかる。それにしても、ドナルド・キーン氏の業績は巨大でかつ奥深いも ...
もっと読む
重要 中国はいかにチベットを侵略したか
中国はいかにチベットを侵略したか マイケル・ダナム 山際 素男 訳 講談社インターナショナル2006年 作家であり、よくいる世界放浪者の写真家が、今日のようにYoutube、インスタではなく、チベットに関する幾人かの亡命チベット人の証言と他書からの引用などで書き上げ ...
もっと読む
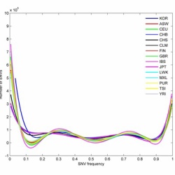
❌ Rare mutations in the complement regulatory gene CSMD1 are associated with male and female infertility
Rare mutations in the complement regulatory gene CSMD1 are associated with male and female infertilityArthur S. Lee et al.Nature communications 11 October 2019この論文では、ノックアウト マウス により、csmd1遺伝子と不妊の関係を明らかにしたとしているも ...
もっと読む
クビライ・カアンの驚異の帝国
クビライ・カアンの驚異の帝国宮 紀子 ミネルヴァ書房 2025年 発刊時点で53歳の京大人文研の助手さんによる著作。研究に専念できるので教授職には就きたくないのであろうし、きつい表現かもしれないが、「教え手」には明らかに不適格だから就くべきでもないと感じざるを ...
もっと読む
⭕️ 意味がわかる統計学
意味がわかる統計学石井 俊全ベレ出版2024年 いわゆるサイエンスライターの方によるタイトルどおり、極めて分かりやすい統計解説書である。そこで、本書で書かれている内容例を元に、自分で書いてみた。ミッドウェー海戦前、山本長官臨席のもと図上演習が行われ、空母への艦 ...
もっと読む
❌ The effect of applying ethnicity-specific spirometric reference equations to Asian migrant workers in Korea
The effect of applying ethnicity-specific spirometric reference equations to Asian migrant workers in KoreaKim et al.Annals of Occupational and Environmental Medicine (2015) バ韓国人の論文にはうんざりさせられる。中国人・日本人との比較を知りたかったが無駄 ...
もっと読む
⭕️ 肺活量Global differences in lung function by region (PURE): an international, community-based prospective study
Global differences in lung function by region (PURE): an international, community-based prospective studyMyLinh Duong et al. 2013インド・バングラデシュ・パキスタンの3か国の人々は、この論文によれば、欧米人に比べて約30%も肺機能が低い。その原因として、イン ...
もっと読む
超重要 アメリカにおける医薬品及び医療機器関連製造物責任
アメリカにおける医薬品及び医療機器関連製造物責任PDFのコピペ防止機能により、内容をコピペできないため、画像でメモする。①何故、アメリ食品医薬品局=FDAは2014年に単独で、かつ、かなりの費用をかけて韓国人DNAを詳しく分析し、韓国人固有の遺伝子変異が生じている遺伝 ...
もっと読む
⭕️ 暗殺から読む世界史
暗殺から読む世界史 ジョン・ウィッテントン 定木 大介 訳 東京堂出版2022年著者略歴によれば、イギリスを代表する災害史研究家でテレビ番組のプロデューサー。分厚い本の割には、売れることを目的とした一書である。p37 司馬遷により美化された暗殺者 暗殺者だけを ...
もっと読む
⭕️ 美しすぎる数の世界
美しすぎる数の世界清水 健一講談社ブルーバックス2017年主として素数に関する予想や定理に関する分かりやすい著作。ウェブ上では、正確な内容である反面、簡単なリーマン予想すらわざと難しく書いている。p26ゴールドバッハの予想4以上の偶数は2つの素数の和である。証明の ...
もっと読む












